Medya Takip Merkezi’nin (MTM), Magazin Gazetecileri Derneği için her ay düzenli olarak hazırladığı raporu açıkladı. Soğuk havaların kendini göstermeye başladığı Kasım ayında sanat dünyasından bir yıldız daha kaydı. Türk Tiyatrosunun gelmiş geçmiş en büyük sanatçılarından Yıldız Kenter aramızdan ayrıldı. Bir başka büyük oyuncu Haluk Bilginer, aldığı ödül ile Türkiye’yi gururlandıran isim oldu.
Türk tiyatrosunun parlayan yıldızını kaybettik
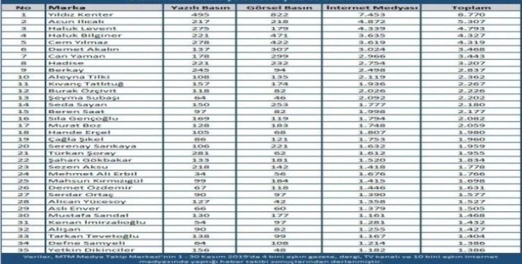
60 seneyi aşan oyunculuk kariyerinde 100’ün üzerinde oyunda yer alan, Türk tiyatrosunun gelmiş geçmiş en büyük üstatlarından Yıldız Kenter, 91 yaşında hayata gözlerini yumdu. Bir süredir akciğer rahatsızlığı için tedavi gören Kenter, apar topar Şişli’de bulunan özel bir hastaneye kaldırılarak yoğun bakıma alınmıştı. 17 Kasım günü verdiği yaşam mücadelesinde yenik düşen Türk tiyatrosunun yıldızı, sevenlerini yasa boğdu. Kenter’in hayatını kaybetmesinin ardından ünlü isimler hastaneye akın etti. Siyaset ve Sanat camiasından birçok isim usta oyuncu için taziye dileklerini iletti.
Vefat etmesinin ardından, 2008 yılında yaptığı bir konuşmada öldükten sonra yakılmak istediğini vasiyet eden usta oyuncunun, vasiyetinin yerine getirilip getirilmeyeceği merak konusu oldu. Vefatı ve vasiyeti ile 8 bin 770 haberde anılan Yıldız Kenter, 19 Kasım günü Kenter Tiyatrosu’nda yapılan törenin ardından öğle namazına müteakip Levent Camii’nde kılınan cenaze namazının ardından Aşiyan Mezarlığı’nda sonsuzluğa uğurlandı.
Acun Ilıcalı listeden inmiyor
Yaşadığı aşk ve iş hayatıyla ismi gündemden inmeyen Acun Ilıcalı, Kasım ayında da magazin listesine adını ilk sıralara yazdırdı. Geçtiğimiz yıl Türkiye’nin gelir vergisi rekortmenleri listesinde 42’nci sırada yer alan Ilıcalı’nın, bu sene açıklanan Türkiye’nin 2018 yılı gelir vergisi rekortmenleri listesinde ilk 100’e girerek, vergi rekortmenleri arasında 83’üncü sırada yer alması medyada büyük yankı uyandırdı. Ilıcalının bir diğer gündem konusu ise konuk olarak katıldığı canlı yayında ne kadar kazandığı sorusuna “Bizim bunu 6 saat hep beraber hesaplamamız lazım. Meksika’dan ne kazandık falan diye. İyi kazanıyorum diyelim” yanıtını vermesiyle de merak konusu oldu.
Ardından 7,5 milyon liralık lüks arabayla görüntülenen medya patronu, fotoğraflarını çeken muhabirleri “Sakın yeni arabası diye yazmayın” diyerek uyardı. Arabanın kendisine ait olmadığını ve markanın test sürüşü için 1 haftalığına verdiğini de belirten Ilıcalı 5 bin 307 haber ile Kasım ayında da en çok konuşulanlar listesinden inmedi.
Haluk Bilginer gururlandırdı
Haluk Bilginer, dünyanın en önemli ödül törenlerinden birisi olan ve 47 yıldır sanat camiasına ödüller dağıtan Emmy Ödül Töreninde bu yıl ülkemize büyük bir gurur yaşattı. New York’ta düzenlenen törende usta aktör, Şahsiyet dizisindeki Agâh Beyoğlu rolüyle uluslararası dalında ’En İyi Erkek Oyuncu’ seçildi. Bilginer’in ödülü alması ile birlikte sosyal medya, gün içerisinde usta oyuncuyu 200 bin’e ulaşan #halukbilginer hashtagı ile alkışladı. Türkiye’nin göğsünü kabartan bu ödül haberi, Kasım ayı sonunda yaşansa da medyada 4 bin 327 habere yansıdı. Uluslararası bir başarı sağlayan Bilginer’in böylesine önemli bir ödül alması onur verici olduğu kadar birçok ülkenin de dikkatini çekerek yabancı basında da bin 300 habere konu oldu.
Can Yaman’a tepki yağdı
Son dönemin en çok konuşulan oyuncularından Can Yaman, yaptığı açıklamalarla medyada tepki topladı. Bir televizyon programına katılmak için İspanya’ya giden Yaman’a, Madrid’deki hayranlarının ilgisi herkesi şaşırttı. Gittiği her ülkede izdihama neden oyuncunun parayla hayran tuttuğu iddiaları da medyaya bomba gibi düştü. Aynı günlerde Kıvanç Tatlıtuğ’un da sessiz sakin yaptığı Madrid paylaşımı, medyada iki oyuncunun kıyaslanmasına sebep oldu. İspanya dönüşü basın mensuplarının Can Yaman’a aynı tarihlerde Kıvanç Tatlıtuğ’un da orada olduğunu hatırlatarak, Tatlıtuğ’un kendisi gibi karşılanmadığını söylemesi üzerine Can Yaman’ın "Ne yapayım arkadaşlar, Kıvanç abinin dizileri İspanya’ya satıldı mı bilmiyorum. Eğer satıldıysa öyle olur satılmadıysa yapacak bir şey yok. Başka bir oyuncunun dizisi izlenmiyorsa orada ünlü olması mümkün değil zaten. Benim dizilerim orada çok izleniyor." açıklaması büyük tepki topladı. Yaman’ın yaptığı açıklama sonrası Tatlıtuğ ile kıyaslanmasına ise sanat camiasından cevaplar gecikmedi.
Şarkıcı Doğuş, "23 yıldır Avrupa’da konserler veriyorum. Böyle bir şeyle karşılaşmadım. Sadece 1 ya da 2 kez. Onda da havaalanına gelenler Türk vatandaşlarımızdı." derken, oyuncu Doğa Rutkay ise "Can Yaman’ı tanımıyorum, işiyle mi fiziğiyle mi buralara geldi bilmiyorum. Onunla ilgili hep ‘etten barikatlar’ diye haberler okuyorum. Hollywood’da da aktörler böyle etten duvarla mı bir yere gidiyorlar?" şeklinde tepki gösterdi. Takipçilerine verdiği sert cevaplarla da sürekli gündemde olan genç oyuncu, medyada 3 bin 443 habere yansıyarak Kasım ayının medyada en çok konuşulan isimlerinden biri oldu.
Yaman’ın yaptığı açıklama sonrasında ise uzun bir süre sessizliğini koruyan Tatlıtuğ, basın mensuplarının soruları üzerine; “Beni gayet iyi tanıdığınızı düşünüyorum. Kendim dışında gelişen herhangi bir olaya yorum yapmadım, yine yapmayacağım. Başka bir sorunuz varsa yardımcı olabilirim” açıklamasında bulundu. İstisnasız her ay en çok konuşulanlar listesinde yer alan Kıvanç Tatlıtuğ, Kasım ayı boyunca medyada 2 bin 267 haberde konuşuldu.
